画像一覧
Dengan kesaktian Indukmu
640×419ピクセル (12.2KB)
スレッドを表示
2を、3つ
640×386ピクセル (15.9KB)
スレッドを表示
Re: 定木のみの作図によせて
449×640ピクセル (14.6KB)
スレッドを表示
定木のみの作図によせて
640×290ピクセル (15KB)
スレッドを表示
Re: 以前あみだくじのパターンを数えるような記事があった気がしますが...
495×640ピクセル (30.3KB)
スレッドを表示
以前あみだくじのパターンを数えるような記事があった気がしますが...
484×640ピクセル (29.6KB)
スレッドを表示
Re: Fake coins and a magic bag
499×640ピクセル (24.1KB)
スレッドを表示
凸性はあえて使わずに
467×640ピクセル (21.4KB)
スレッドを表示
Re: Fake coins and a magic bag
640×527ピクセル (34.7KB)
スレッドを表示
Re: Fake coins and a magic bag
610×428ピクセル (20KB)
スレッドを表示
Re: 極と極線
640×376ピクセル (13.9KB)
スレッドを表示
Re: 謹賀新年!面白い幾何の問題!
640×295ピクセル (9.8KB)
スレッドを表示
未解決な素因数分解
640×399ピクセル (35.2KB)
スレッドを表示
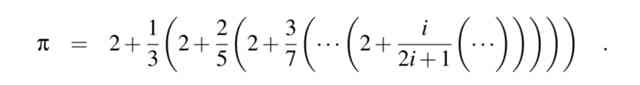
Re: 円周率の求め方
640×85ピクセル (4.2KB)
スレッドを表示
Re: πとeの道
532×640ピクセル (79.2KB)
スレッドを表示
謹賀新年!面白い幾何の問題!
640×192ピクセル (10.9KB)
スレッドを表示
年賀状ネタ:2025年が近づいていますね
640×583ピクセル (32.1KB)
スレッドを表示
Re: 双子素数と素数魔円陣
534×534ピクセル (18.6KB)
スレッドを表示
Re: 双子素数と素数魔円陣
534×534ピクセル (18.6KB)
スレッドを表示
Re: 双子素数と素数魔円陣
401×401ピクセル (10.1KB)
スレッドを表示
Re: 双子素数と素数魔円陣
640×640ピクセル (26.6KB)
スレッドを表示
双子素数と素数魔円陣
534×534ピクセル (19KB)
スレッドを表示
Re: 超円方陣
534×534ピクセル (15.2KB)
スレッドを表示
Re: 超円方陣
534×534ピクセル (10.6KB)
スレッドを表示
Re: 超円方陣
534×534ピクセル (20.2KB)
スレッドを表示
Re: 超円方陣
440×449ピクセル (21.8KB)
スレッドを表示
「魔球陣」
640×640ピクセル (21KB)
スレッドを表示
超円方陣
440×449ピクセル (21.7KB)
スレッドを表示
Re: いろいろな連珠形
400×200ピクセル (9.9KB)
スレッドを表示
Re: いろいろな連珠形
400×200ピクセル (7.7KB)
スレッドを表示
Re: いろいろな連珠形
400×400ピクセル (12.6KB)
スレッドを表示
Re: いろいろな連珠形
400×400ピクセル (12.9KB)
スレッドを表示
いろいろな連珠形
400×400ピクセル (13.3KB)
スレッドを表示
Re: 角の大きさ37
274×640ピクセル (15.1KB)
スレッドを表示
Re: 図形問題 part2
640×326ピクセル (13.5KB)
スレッドを表示
Re: 図形問題 part2
462×258ピクセル (8KB)
スレッドを表示
Re: 展開図
640×377ピクセル (12.8KB)
スレッドを表示
Re: グラフソフトをお持ちの方へ(2)
418×418ピクセル (11.3KB)
スレッドを表示
カタラン数の総和の式の証明
640×235ピクセル (9.3KB)
スレッドを表示
Re: 3色で埋めて!
543×640ピクセル (22.6KB)
スレッドを表示
Re: 多分計算が面倒なので気が向いたらどうぞ
640×469ピクセル (15.3KB)
スレッドを表示
Re: 多分計算が面倒なので気が向いたらどうぞ
640×377ピクセル (10.2KB)
スレッドを表示
Re: 多分計算が面倒なので気が向いたらどうぞ
223×200ピクセル (3.3KB)
スレッドを表示
三角形の話題
640×377ピクセル (11.1KB)
スレッドを表示
Re: 図形の難問
436×388ピクセル (12.9KB)
スレッドを表示
八角形の問題
336×312ピクセル (8.2KB)
スレッドを表示
Re: 投稿テスト
253×178ピクセル (4.3KB)
スレッドを表示